
   mcgowald@wfu.edu 
   Monday 11:00a-12:00p 
   bit.ly/lucystats-office-hours
🗣 math speak
model
data (to build the model)
data (outcome)
simple linear regression

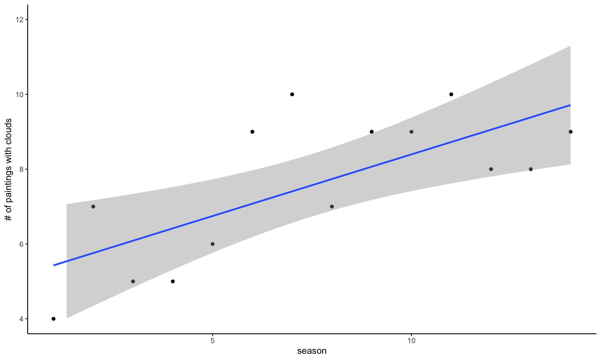
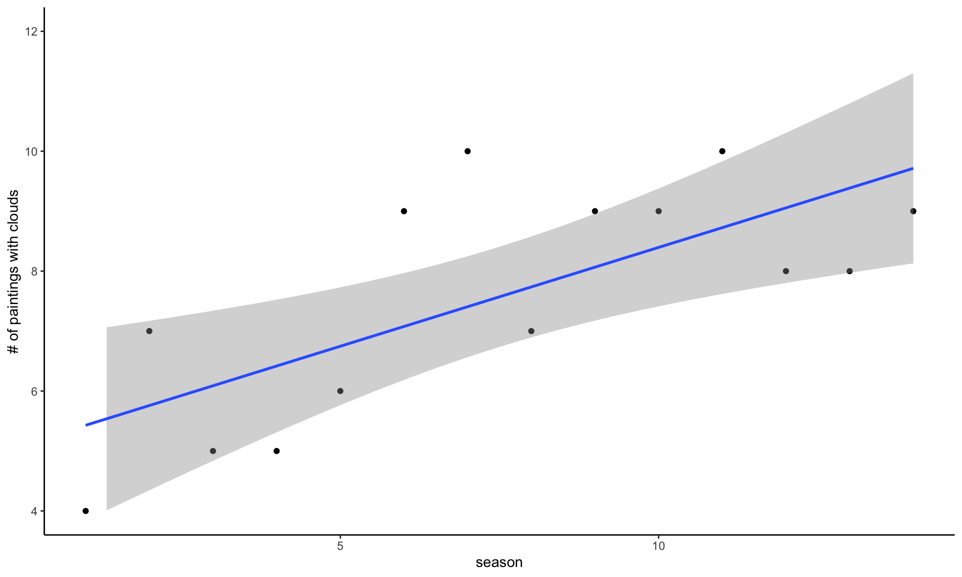
Bob at Easel from Wikipedia


Data: FiveThirtyEight


\(y = \color{green}{\beta_0 + \beta_1X}+ \epsilon\)


\(\text{# of paintings with clouds} = \color{green}{\beta_0 + \beta_1 season}+ \epsilon\)




\(\text{# of paintings with clouds} = \color{green}{\beta_0 + \boldsymbol\beta f(season)}+ \epsilon\)
multiple linear regression
logistic regression

Step 1: Create a New Project
Click File > New Project
Step 2: Click “Version Control”
Click the third option.
Step 3: Click Git
Click the first option
Step 4: Copy my starter files
Paste this link in the top box (Repository url):
https://github.com/sta-112-f23/appex-01-welcome-penguins.git
Penguin fun!https://github.com/sta-112-f23/appex-01-welcome-penguins.git in the Repository url boxwelcome-penguins.qmd fileyaml – we’ll talk about what this means later) and render again.plot chunk, below Palmer Penguins. Instead of looking at the relationship between flipper length and bill length, plot the relationship between flipper length and bill depth. Hint, look at the full dataset at the bottom of the document for variable names, update the captions to match your new plot.08:00
Practice annotating slidesStudents with disabilities who believe that they may need accommodations in the class are encouraged to contact Learning Assistance Center & Disability Services at 336-758-5929 or lacds@wfu.edu as soon as possible to better ensure that such accommodations are implemented in a timely fashion.
All course questions can be posted on the Canvas Q&A board
Adhere to the Wake Forest Honor Code. Academic dishonesty will not be tolerated.
| Application exercises & Annotations | 5% | 
| Midterm 01 | 20% | 
| Midterm 02 | 20% | 
| Check-ins | 20% | 
| Labs | 20% | 
| Final Project | 15% |